# leetcode 最常见的150道前端面试题(简单题下)

https://mp.weixin.qq.com/s/kofbFk64Ghv7UDLgF81UMQ (opens new window)

# 二叉树(DFS)

# 二叉树前中后遍历套路详解

前序遍历题目如下:

root节点是A节点(下图的A节点),然后让你按照下图数字的顺序依次打印出节点。

图片d7948dc5e50e70cc84cfbd0e0cf989da40eb96167f03b710392be45b8c415662.png

我们可以看到这其中的规律,就是深度优先遍历,先遍历左子树,再遍历右子树,这里我们不用递归,因为一些大厂严格要求二叉树遍历不用递归,递归太简单了。

重点思路就是:深度优先遍历,先遍历左子树,再遍历右子树

所以,我们需要一套如何遍历一颗二叉树,并且是先左子树,再右子树的通用模板,如下

var Traversal = function(root) {
    const stack = [];
    while (root || stack.length){
      while(root){
        stack.push(root);
        root = root.left;
      }
      root = stack.pop();
      root = root.right;
    }
    return res;
};
复制代码

我们结合图片发现这个遍历产生的整体压栈的顺序是

  • A、B、D入栈,
  • D出栈
  • B出栈
  • E入栈
  • E出栈
  • A出栈
  • C入栈
  • C出栈
  • F入栈
  • F出栈

我们把上面入栈的元素按顺序排列一下就是,A、B、D、E、C、F,而这就是前序遍历的顺序!解答完毕!

是不是很有意思,下面的中序遍历,我们看看出栈顺序是不是中序遍历的要求:D、B、E、A、C、F(这就是中序遍历的要求,好了,两个题解决)

放具体前序遍历代码:

var preorderTraversal = function(root) {
    // 初始化数据
    const res =[];
    const stack = [];
    while (root || stack.length){
      while(root){
        res.push(root.val);
        stack.push(root);
        root = root.left;
      }
      root = stack.pop();
      root = root.right;
    }
    return res;
};
复制代码

中序遍历是一个意思,在前序遍历的基础上改造一下图片

var preorderTraversal = function(root) {
    // 初始化数据
    const res =[];
    const stack = [];
    while (root || stack.length){
      while(root){
        stack.push(root);
        root = root.left;
      }
      root = stack.pop();
      res.push(root.val);
      root = root.right;
    }
    return res;
};
复制代码

后序遍历有点不太一样,但是套路是一样的,我们需要先遍历右子树,再遍历左子树,反着来,就可以了,代码如下:

图片image.png

var postorderTraversal = function(root) {
  // 初始化数据
    const res =[];
    const stack = [];
    while (root || stack.length){
      while(root){
        stack.push(root);
        res.unshift(root.val);
        root = root.right;
      }
      root = stack.pop();
      root = root.left;
    }
    return res;
};
复制代码

# 对称二叉树

这个题简而言之就是判断一个二叉树是对称的,比如说:

二叉树 [1,2,2,3,4,4,3] 是对称的。

    1
   / \
  2   2
 / \ / \
3  4 4  3
复制代码

但是下面这个 [1,2,2,null,3,null,3] 则不是镜像对称的:

    1
   / \
  2   2
   \   \
   3    3

复制代码

思路:

递归解决:

  • 判断两个指针当前节点值是否相等
  • 判断 A 的右子树与 B 的左子树是否对称
  • 判断 A 的左子树与 B 的右子树是否对称
function isSame(leftNode, rightNode){
    if(leftNode === null && rightNode === null) return true;
    if(leftNode === null || rightNode === null) return false;
    return leftNode.val === rightNode.val && isSame(leftNode.left, rightNode.right) && isSame(leftNode.right, rightNode.left)
}
var isSymmetric = function(root) {
    if(!root) return root;
    return isSame(root.left, root.right);
};
复制代码

# 二叉树的最大深度

这个题在面试滴滴的时候遇到过,主要是掌握二叉树遍历的套路

  • 只要遍历到这个节点既没有左子树,又没有右子树的时候
  • 说明就到底部了,这个时候如果之前记录了深度,就可以比较是否比之前记录的深度大,大就更新深度
  • 然后以此类推,一直比较到深度最大的
var maxDepth = function(root) {
    if(!root) return root;
    let ret = 1;
    function dfs(root, depth){
        if(!root.left && !root.right) ret = Math.max(ret, depth);
        if(root.left) dfs(root.left, depth+1);
        if(root.right) dfs(root.right, depth+1);
    }
    dfs(root, ret);
    return ret
};
复制代码

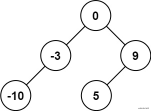
# 将有序数组转化为二叉搜索树

我们先看题:

给你一个整数数组 nums ,其中元素已经按 升序 排列,请你将其转换为一棵 高度平衡 二叉搜索树。

高度平衡 二叉树是一棵满足「每个节点的左右两个子树的高度差的绝对值不超过 1 」的二叉树。

示例 1:

图片image.png

输入:nums = [-10,-3,0,5,9]
输出:[0,-3,9,-10,null,5]
解释:[0,-10,5,null,-3,null,9] 也将被视为正确答案:
复制代码

示例 2:

图片image.png

输入:nums = [1,3]
输出:[3,1]
解释:[1,3] 和 [3,1] 都是高度平衡二叉搜索树。
 

提示:

1 <= nums.length <= 104
-104 <= nums[i] <= 104
nums 按 严格递增 顺序排列
复制代码

思路:

  • 构建一颗树包括:构建root、构建 root.left 和 root.right
  • 题目要求"高度平衡" — 构建 root 时候,选择数组的中间元素作为 root 节点值,即可保持平衡。
  • 递归函数可以传递数组,也可以传递指针,选择传递指针的时候:l r 分别代表参与构建BST的数组的首尾索引。
var sortedArrayToBST = function(nums) {
    return toBST(nums, 0, nums.length - 1)
};
const toBST = function(nums, l, r){
    if( l > r){
        return null;
    }
    const mid = l + r >> 1;
    const root = new TreeNode(nums[mid]);
    root.left = toBST(nums, l, mid - 1);
    root.right = toBST(nums, mid + 1, r);

    return root;
}
复制代码

#

栈是一种先进先出的数据结构,所以涉及到你需要先进先出这个想法后,就可以使用栈。

其次我觉得栈跟递归很相似,递归是不是先压栈,然后先进来的先出去,就跟函数调用栈一样。

# 20. 有效的括号

这是一道很典型的用栈解决的问题, 给定一个只包括 '(',')','{','}','[',']' 的字符串 s ,判断字符串是否有效。

有效字符串需满足:

左括号必须用相同类型的右括号闭合。左括号必须以正确的顺序闭合。

示例 1:

输入:s = "()"
输出:true
示例 2:

输入:s = "()[]{}"
输出:true
示例 3:

输入:s = "(]"
输出:false
示例 4:

输入:s = "([)]"
输出:false
复制代码

思路:这道题有一规律:

  1. 右括号前面,必须是相对应的左括号,才能抵消!
  2. 右括号前面,不是对应的左括号,那么该字符串,一定不是有效的括号!

也就是说左括号我们直接放入栈中即可,发现是右括号就要对比是否跟栈顶元素相匹配,不匹配就返回false

var isValid = function(s) {
    const map = { '{': '}', '(': ')', '[': ']' };
    const stack = [];
    for(let i of s){
        if(map[i]){
            stack.push(i);
        } else {
            if(map[stack[stack.length - 1]] === i){
                stack.pop()
            }else{
                return false;
            }
        }
    }
    return stack.length === 0;
};
复制代码

# 155、 最小栈

先看题目:

设计一个支持 push ,pop ,top 操作,并能在常数时间内检索到最小元素的栈。

  • push(x) —— 将元素 x 推入栈中。
  • pop() —— 删除栈顶的元素。
  • top() —— 获取栈顶元素。
  • getMin() —— 检索栈中的最小元素。
示例:

MinStack minStack = new MinStack();
minStack.push(-2);
minStack.push(0);
minStack.push(-3);
minStack.getMin();   --> 返回 -3.
minStack.pop();
minStack.top();      --> 返回 0.
minStack.getMin();   --> 返回 -2.

提示:

pop、top 和 getMin 操作总是在 非空栈 上调用。
复制代码

我们先不写getMin方法,满足其他方法实现就非常简单,我们来看一下:

var MinStack = function() {
    this.stack = [];
};

MinStack.prototype.push = function(x) {
    this.stack.push(x);
};

MinStack.prototype.pop = function() {
    this.stack.pop();
};

MinStack.prototype.top = function() {
    return this.stack[this.stack.length - 1];
};
复制代码

如何保证每次取最小呢,我们举一个例子:图片

如上图,我们需要一个辅助栈来记录最小值,

  • 开始我们向stack push -2
  • 此时辅助栈minStack,因为此时stack最小的是-2,也push -2
  • stack push 0
  • 此时辅助站minStack 会用 0 跟 -2对比,-2更小,minstack会push -2
  • stack push -3
  • 此时辅助站minStack 会用 -3 跟 -2对比,-3更小,minstack会push -3

所以我们取最小的时候,总能在minStack中取到最小值,所以解法就出来了:

var MinStack = function() {
    this.stack = [];
    // 辅助栈
    this.minStack = [];
};

MinStack.prototype.push = function(x) {
    this.stack.push(x);
    // 如果是第一次或者当前x比最小栈里的最小值还小才push x
    if(this.minStack.length === 0 || x < this.minStack[this.minStack.length - 1]){
        this.minStack.push(x)
    } else {
         this.minStack.push( this.minStack[this.minStack.length - 1])
    }
};

MinStack.prototype.pop = function() {
    this.stack.pop();
    this.minStack.pop();
};

MinStack.prototype.top = function() {
    return this.stack[this.stack.length - 1];
};

MinStack.prototype.getMin = function() {
    return this.minStack[this.stack.length - 1];
};
复制代码

# 动态规划

动态规划,一定要知道动态转移方程,有了这个,就相当于解题的钥匙,我们从题目中体会一下

# 53. 最大子序和

题目如下:

给定一个整数数组 nums ,找到一个具有最大和的连续子数组(子数组最少包含一个元素),返回其最大和。

示例 1:

输入:nums = [-2,1,-3,4,-1,2,1,-5,4]
输出:6
解释:连续子数组 [4,-1,2,1] 的和最大,为 6 。
示例 2:

输入:nums = [1]
输出:1
示例 3:

输入:nums = [0]
输出:0
复制代码

思路:

  • 这道题可以用动态规划来解决,关键是找动态转移方程
  • 我们动态转移方程中,dp表示每一个nums下标的最大自序和,所以dp[i]的意思为:包括下标i之前的最大连续子序列和为dp[i]。

确定转义方程的公示:

dp[i]只有两个方向可以推出来:

  • 1、如果dp[i - 1] < 0,也就是当前遍历到nums的i,之前的最大子序和是负数,那么我们就没必要继续加它了,因为dp[i] = dp[i - 1] + nums[i] 会比nums[i]更小,所以此时还不如dp[i] = nums[i],就是目前遍历到i的最大子序和呢
  • 2、同理dp[i - 1] > 0,说明nums[i]值得去加dp[i - 1],此时回避nums[i]更大

这样代码就出来了,其实更多的就是求dp,遍历nums每一个下标都会产生最大子序和,我们记录下来即可

var maxSubArray = function(nums) {
  let res = nums[0];
  const dp = [nums[0]];
  for(let i=1;i < nums.length;i++){
      if(dp[i-1]>0){
        dp[i]=nums[i]+dp[i-1]
      }else{
       dp[i]=nums[i]
      }
      
    res=Math.max(dp[i],res)
  }
    return res
};
复制代码

# 70. 爬楼梯

先看题目:

假设你正在爬楼梯。需要 n 阶你才能到达楼顶。

每次你可以爬 1 或 2 个台阶。你有多少种不同的方法可以爬到楼顶呢?

注意:给定 n 是一个正整数。

示例 1:

输入: 2
输出: 2
解释: 有两种方法可以爬到楼顶。
1.  1 阶 + 1 阶
2.  2 阶
示例 2:

输入: 3
输出: 3
解释: 有三种方法可以爬到楼顶。
1.  1 阶 + 1 阶 + 1 阶
2.  1 阶 + 2 阶
3.  2 阶 + 1 阶
复制代码

涉及到动态规划,一定要知道动态转移方程,有了这个,就相当于解题的钥匙,

这道题我们假设dp[10]表示爬到是你爬到10阶就到达楼顶的方法数,

那么,dp[10] 是不是就是你爬到8阶,然后再走2步就到了,还有你走到9阶,再走1步就到了,

所以 dp[10] 是不是等于 dp[9]+dp[8]

延伸一下 dp[n] 是不是等于 dp[n \- 1] + dp[n \- 2]

代码如下:

var climbStairs = function(n) {
    const dp = {};
    dp[1] = 1;
    dp[2] = 2;
    for(let i = 3; i <= n; i++){
        dp[i] = dp[i-1] + dp[i-2]
    }
    return dp[n]
};
复制代码

# 数学问题

以下更多的是涉及数学问题,这些解法非常重要,因为在中级题里面会经常用到,比如我们马上讲到的加一这个题, 中级的两数相加都是一个模板。

# 66. 加一

题目如下:

给定一个由 整数 组成的 非空 数组所表示的非负整数,在该数的基础上加一。

最高位数字存放在数组的首位, 数组中每个元素只存储单个数字。

你可以假设除了整数 0 之外,这个整数不会以零开头。

示例 1:

输入:digits = [1,2,3]
输出:[1,2,4]
解释:输入数组表示数字 123。
示例 2:

输入:digits = [4,3,2,1]
输出:[4,3,2,2]
解释:输入数组表示数字 4321。
示例 3:

输入:digits = [0]
输出:[1]
复制代码

这个题的关键有两点:

  • 需要有一个进位的变量carry记录到底进位是几
  • 还需要一个每次迭代都重置和的变量sum来帮我们算是否进位,以及进位后的数字

记住这个题,这是两数字相加的套路,这次是+1,其实就是两数相加的题(腾讯面试遇到过两数相加)

var plusOne = function(digits) {
  let carry = 1; // 进位(因为我们确定+1,初始化进位就是1)
  for(let i = digits.length - 1; i >= 0; i--){
      let sum = 0; // 这个变量是用来每次循环计算进位和digits[i]的值的
      sum = digits[i] + carry; 
      digits[i] = sum % 10; // 模运算取个位数
      carry = (sum / 10) | 0; //  除以10是取百位数,并且|0表示舍弃小数位
  }
  if(digits[0] === 0) digits.unshift(carry);
  return digits
};
复制代码

# 69 x的平方根

题目如下:实现 int sqrt(int x) 函数。

计算并返回 x 的平方根,其中 x 是非负整数。

由于返回类型是整数,结果只保留整数的部分,小数部分将被舍去。

示例 1:

输入: 4
输出: 2
复制代码

示例 2:

输入: 8
输出: 2
说明: 8 的平方根是 2.82842..., 
     由于返回类型是整数,小数部分将被舍去。
复制代码

这道题是典型的二分法解题,所以我们需要熟悉二分法的通用模板,我们出一个题:

在 [1, 2, 3, 4, 5, 6] 中找到 4,若存在则返回下标,不存在返回-1

const arr = [1, 2, 3, 4, 5, 6];
function getIndex1(arr, key) {
  let low = 0;
  const high = arr.length - 1;
  while (low <= high) {
    const mid = Math.floor((low + high) / 2);
    if (key === arr[mid]) {
      return mid;
    }
    if (key > arr[mid]) {
      low = mid + 1;
    } else {
      height = mid - 1;
    }
  }
  return -1;
}
console.log(getIndex1(arr, 5)); // 4
复制代码

所以这道题的意思就是,我们找一个数平方跟x最相近的数,二分法的用法中也有找相近数的功能

所以代码如下:

var mySqrt = function(x) {
    let [l , r] = [0, x];
    let ans = -1;
    while(l <= r) {
        const mid = (l + r) >> 1;
        if(mid * mid > x){
            r = mid - 1
        } else if(mid * mid < x){
            ans = mid; // 防止越界
            l = mid + 1;
        } else {
            ans = mid;
            return ans;
        }
    }
    return ans;
};
};
复制代码

# 171. Excel表序列号

这个题比较重要,也比较基础,简而言之就是进制转换,必须牢牢掌握

题目如下:

给你一个整数 columnNumber ,返回它在 Excel 表中相对应的列名称。

例如:

A -> 1
B -> 2
C -> 3
...
Z -> 26
AA -> 27
AB -> 28 
...
复制代码
示例 1:

输入:columnNumber = 1
输出:"A"
示例 2:

输入:columnNumber = 28
输出:"AB"
示例 3:

输入:columnNumber = 701
输出:"ZY"
示例 4:

输入:columnNumber = 2147483647
输出:"FXSHRXW"
复制代码

说白了,这就是一道26进制的问题,以前我们知道10进制转2进制就是不停的除2,把余数加起来,26进制也是一样,不停的除26

思路:

  • 初始化结果 ans = 0,遍历时将每个字母与 A 做减法,因为 A 表示 1,所以减法后需要每个数加 1,计算其代表的数值 num = 字母 - ‘A’ + 1
  • 因为有 26 个字母,所以相当于 26 进制,每 26 个数则向前进一位
  • 所以每遍历一位则ans = ans * 26 + num
  • 以 ZY 为例,Z 的值为 26,Y 的值为 25,则结果为 26 * 26 + 25=701
var titleToNumber = function(columnTitle) {
    let ans = 0;
    for(let i = 0; i < columnTitle.length; i++){
        ans = ans * 26 + (columnTitle[i].charCodeAt() - 'A'.charCodeAt() + 1)
    }
    return ans;
};
复制代码

# 172. 阶乘中的零

题目:

给定一个整数 n,返回 n! 结果尾数中零的数量。

示例 1:

输入: 3
输出: 0
解释: 3! = 6, 尾数中没有零。
示例 2:

输入: 5
输出: 1
解释: 5! = 120, 尾数中有 1 个零.
复制代码

这道题很简单,有多少个5就有多少个0,为什么这么说呢,我们分析一下题目

比如说 5!,

  • 也就是 5 * 4 * 3 * 2 * 1 = 120,我们发现只有1个0,怎么产生的呢,主要造成者就是 2 * 5 构造了一个0
  • 再看看10!

10! = 10 * 9 * 8 * 7 * 6 * 5 * 4 * 3 * 2 * 1 其中,除了10 = 2 * 5和本身有一对2 * 5,所以有两个0,这样这道题的规律就出来了,我们再精进一步

图片image.png

如上图,每四个数字都会出现一个或者多个2的因子,但是只有每 5 个数字才能找到一个或多个5的因子。所以总体上看来,2的因子是远远多于5的因子的,所以我们只需要找5的倍数就可以了。

我们再进一步,按照上面的说法,我们需要计算比如10的阶乘有多少个0,要把10的阶乘算出来,其实我们只需要算10有几个5就好了,为什么呢

我们发现只有5的倍数的阶乘,才会产生5, 所以我们需要看看阶层数有多少个5,代码如下:

var trailingZeroes = function (n) {
  let r = 0;
  while (n > 1) {
    n = Math.floor(n / 5);
    r += n;
  }
  return r;
};
复制代码

# 190.颠倒二进制位

题目如下:

颠倒给定的 32 位无符号整数的二进制位。

示例 1:

输入: 00000010100101000001111010011100
输出: 00111001011110000010100101000000
解释: 输入的二进制串 00000010100101000001111010011100 表示无符号整数 43261596,
     因此返回 964176192,其二进制表示形式为 00111001011110000010100101000000。
复制代码

示例 2:

输入:11111111111111111111111111111101
输出:10111111111111111111111111111111
解释:输入的二进制串 11111111111111111111111111111101 表示无符号整数 4294967293,
     因此返回 3221225471 其二进制表示形式为 10111111111111111111111111111111 。
复制代码

这类题,就是翻转字符串,我们可以把其转为字符串,再转成数组,再reverse一下,这里我们选用数学的方式去解答,不用这种转字符串的方式。

解答这道题之前,我们需要了解的前置知识:

  1. 与预算 `&`
    
1 & 1 // 1的2进制最后一位是1,得到1
2 & 0 // 2的2进制最后一位是0,得到0
3 & 1 // 3的2进制最后一位是1,得到1
4 & 0 // 4的2进制最后一位是0,得到0
复制代码

所以我们知道了怎么取10进制最后1位的2进制是几。

  1. JavaScript 使用 32 位按位运算数(意思是我们的按位运算都会转成32位,你的数字不能超过32位,会出问题)
  • JavaScript 将数字存储为 64 位浮点数,但所有按位运算都以 32 位二进制数执行。
  • 在执行位运算之前,JavaScript 将数字转换为 32 位有符号整数。
  • 执行按位操作后,结果将转换回 64 位 JavaScript 数。
  1. '<< 1' 运算

这个运算实际上就是把10进制乘以2,这个乘2在2进制上表现出右边填了一个0,我们距举例来说,

  • 2的2进制是 10,2 << 1 得到4, 4的2进制是100,所以比10多了个0
  • 3的2进制是 11,3 << 1 得到6。6的2进制是110,所以比11多了个0

以上就是规律

思路:循环取最后一位拼接起来即可

var reverseBits = function (n) {
  let result = 0
  for (let i = 0; i < 32; i++) {
    result = (result << 1) + (n & 1)
    n = n >> 1
  }
  // 为什么要 >>> 0 呢,一位javascript没有无符号整数,全是有符号的
  // 不>>>0的话,得出来的值是负数,但是无符号整数是没有符号的
  // javascript 有符号转化为无符号的方法就是>>>0
  return result >>> 0
}
复制代码

# 268. 丢失的数字

题目如下:

给定一个包含 [0, n] 中 n 个数的数组 nums ,找出 [0, n] 这个范围内没有出现在数组中的那个数。

进阶:

你能否实现线性时间复杂度、仅使用额外常数空间的算法解决此问题?

示例 1:

输入:nums = [3,0,1]
输出:2
解释:n = 3,因为有 3 个数字,所以所有的数字都在范围 [0,3] 内。2 是丢失的数字,因为它没有出现在 nums 中。
示例 2:

输入:nums = [0,1]
输出:2
解释:n = 2,因为有 2 个数字,所以所有的数字都在范围 [0,2] 内。2 是丢失的数字,因为它没有出现在 nums 中。
复制代码

这题很简单,就是用0-n的总和减去数组总和

  • 0 - n 的总和用等差数列:(首数+尾数)* 项数 / 2 来求
 var missingNumber = function(nums) {
    const len = nums.length
 
   let sum = ((1 + len) * len) / 2
 
   for (let i = 0; i < len; i++) {
     sum -= nums[i]
   }
 
   return sum
 }
复制代码

# 3的幂

题目如下:

给定一个整数,写一个函数来判断它是否是 3 的幂次方。如果是,返回 true ;否则,返回 false 。

整数 n 是 3 的幂次方需满足:存在整数 x 使得 n == 3的x次方

示例 1:

输入:n = 27
输出:true
示例 2:

输入:n = 0
输出:false
示例 3:

输入:n = 9
输出:true
复制代码

思路

  • 我们拿27来说:27 = 3 * 3 * 3,所以27是3的幂次方
  • 我们拿29来说:29 = 3 * 3 * 3点几

也就是说,如果是3的幂次方,一直除以3,除到最后就等于1比如27/3/3/3等于1 如果不是3的幂次方,除到最后就是3点几/3 等于1点几

代码就出来了判断是不是等于1即可

var isPowerOfThree = function(n) {
    while(n >= 3){
        n /= 3;
    }
    return n === 1;
};
复制代码

# 412. Fizz Buzz

这个题没啥好说的,就按照题目说的写代码就行,先看题目:

写一个程序,输出从 1 到 n 数字的字符串表示。

  1. 如果 n 是3的倍数,输出“Fizz”;
  2. 如果 n 是5的倍数,输出“Buzz”;
  3. 如果 n 同时是3和5的倍数,输出 “FizzBuzz”。
示例:

n = 15,

返回:
[
    "1",
    "2",
    "Fizz",
    "4",
    "Buzz",
    "Fizz",
    "7",
    "8",
    "Fizz",
    "Buzz",
    "11",
    "Fizz",
    "13",
    "14",
    "FizzBuzz"
]
复制代码
  var fizzBuzz = function (n) {
    const list = [];
    for (let i = 1; i <= n; i++) {
      const is3Times = i % 3 === 0; // 是否是3的倍数
      const is5Times = i % 5 === 0; // 是否是5的倍数
      const is15Times = is3Times && is5Times; // 是否是15的倍数
      if (is15Times) {
        list.push('FizzBuzz');
        continue;
      }
      if (is3Times) {
        list.push('Fizz');
        continue;
      }
      if (is5Times) {
        list.push('Buzz');
        continue;
      }
      list.push(`${i}`);
    }
    return list;
  };
复制代码
    1. 整数反转

这个题跟之前的excel序号题差不多,我们先看题目:

图片屏幕快照 2021-07-27 上午10.55.40.png

思路如下:这道题可以将数字转字符串然后翻转,我们不用这种方法,用更纯正的数学方法,速度和效率更好。

假设我们有一个数字12345,下图展示了翻转的过程

图片image.png

var reverse = function(x) {
    let ret = 0;
    while(x){
        ret = ret * 10 + x % 10;
        if(ret > Math.pow(2, 31) - 1 || ret < Math.pow(-2, 31)) return 0;
        x = (x / 10) | 0
    }
    return ret
};
复制代码

# 环问题

这类问题的特点就是,你要循环寻找,到底怎么循环寻找,看题便知。

# 141. 环形链表

题目如下:

给定一个链表,判断链表中是否有环。

如果链表中有某个节点,可以通过连续跟踪 next 指针再次到达,则链表中存在环。为了表示给定链表中的环,我们使用整数 pos 来表示链表尾连接到链表中的位置(索引从 0 开始)。如果 pos 是 -1,则在该链表中没有环。注意:pos 不作为参数进行传递,仅仅是为了标识链表的实际情况。

如果链表中存在环,则返回 true 。否则,返回 false 。

示例 1:

图片image.png

输入:head = [3,2,0,-4], pos = 1
输出: true
解释: 链表中有一个环,其尾部连接到第二个节点。
复制代码

示例 2:图片

输入:head = [1,2], pos = 0
输出: true
解释: 链表中有一个环,其尾部连接到第一个节点。
复制代码

我们采用标记法:

给遍历过的节点打记号,如果遍历过程中遇到有记号的说明已环

var hasCycle = function(head) {
    let traversingNode = head;
    while(traversingNode){
        if(traversingNode.isVistitd) return true
        traversingNode.isVistitd = true
        traversingNode = traversingNode.next
    }
    return false;
};
复制代码

# 160. 相交链表

题目如下:

给你两个单链表的头节点 headA 和 headB ,请你找出并返回两个单链表相交的起始节点。如果两个链表没有交点,返回 null 。

图示两个链表在节点 c1 开始相交:

图片image.png

题目数据 保证 整个链式结构中不存在环。

注意,函数返回结果后,链表必须 保持其原始结构

示例 1:

图片image.png

输入:intersectVal = 8, listA = [4,1,8,4,5], listB = [5,0,1,8,4,5], skipA = 2, skipB = 3
输出:Intersected at '8'
解释:相交节点的值为 8 (注意,如果两个链表相交则不能为 0)。
从各自的表头开始算起,链表 A 为 [4,1,8,4,5],链表 B 为 [5,0,1,8,4,5]。
在 A 中,相交节点前有 2 个节点;在 B 中,相交节点前有 3 个节点。
复制代码

示例 2:

图片image.png

输入:intersectVal = 2, listA = [0,9,1,2,4], listB = [3,2,4], skipA = 3, skipB = 1
输出:Intersected at '2'
解释:相交节点的值为 2 (注意,如果两个链表相交则不能为 0)。
从各自的表头开始算起,链表 A 为 [0,9,1,2,4],链表 B 为 [3,2,4]。
在 A 中,相交节点前有 3 个节点;在 B 中,相交节点前有 1 个节点。
复制代码

稍后更新本文章

# 202. 快乐数

题目如下:编写一个算法来判断一个数 n 是不是快乐数。

「快乐数」定义为:

  • 对于一个正整数,每一次将该数替换为它每个位置上的数字的平方和。
  • 然后重复这个过程直到这个数变为 1,也可能是 无限循环 但始终变不到 1。
  • 如果 可以变为 1,那么这个数就是快乐数。
  • 如果 n 是快乐数就返回 true ;不是,则返回 false 。

图片image.png

快乐数怎么分析呢?

我们来看一个表,就会得出结论,一个数按照快乐数定义的方式分别每个数字平方,会有两种情况

    1. 得到1
    1. 无限循环

无限循环参照下图

图片image.png

有人会说会不会一直变大,答案是不会:我们看下面列表,

  • 可以看到如果你是13位,你的下一次快乐数算法会变为4位1053,
  • 如果你是9999, 4位,下一个快乐数是324
位数 位数对应最大值 下一个快乐数
1 9 81
2 99 162
3 999 243
4 9999 324
13 9999999999999 1053

所以代码只要判断这两种就行了,代码如下:

// 封装获取快乐数的方法
function getNext(n){
    n = String(n);
    let sum = 0;
    for(let num of n){
        sum = sum + Math.pow(+num, 2);
    }
    return sum;
}
var isHappy = function(n) {
    // 哈希表来看是否循环
    const map = {};
    while( n !== 1 ){
        map[n] = true;
        n = getNext(n)
        if(map[n]) return false
    }
    return true
};
复制代码

后面会写中级算法的题,请大家务必把这些基础算法题掌握好,基础不牢地动山摇,后面中级题很多都是在这些基础题的基础上的。

源自:https://juejin.cn/post/6989031479753834504

上次更新: 11/8/2024, 10:19:43 AM